Forums

Back

Additional MCQ

Maths & Stats

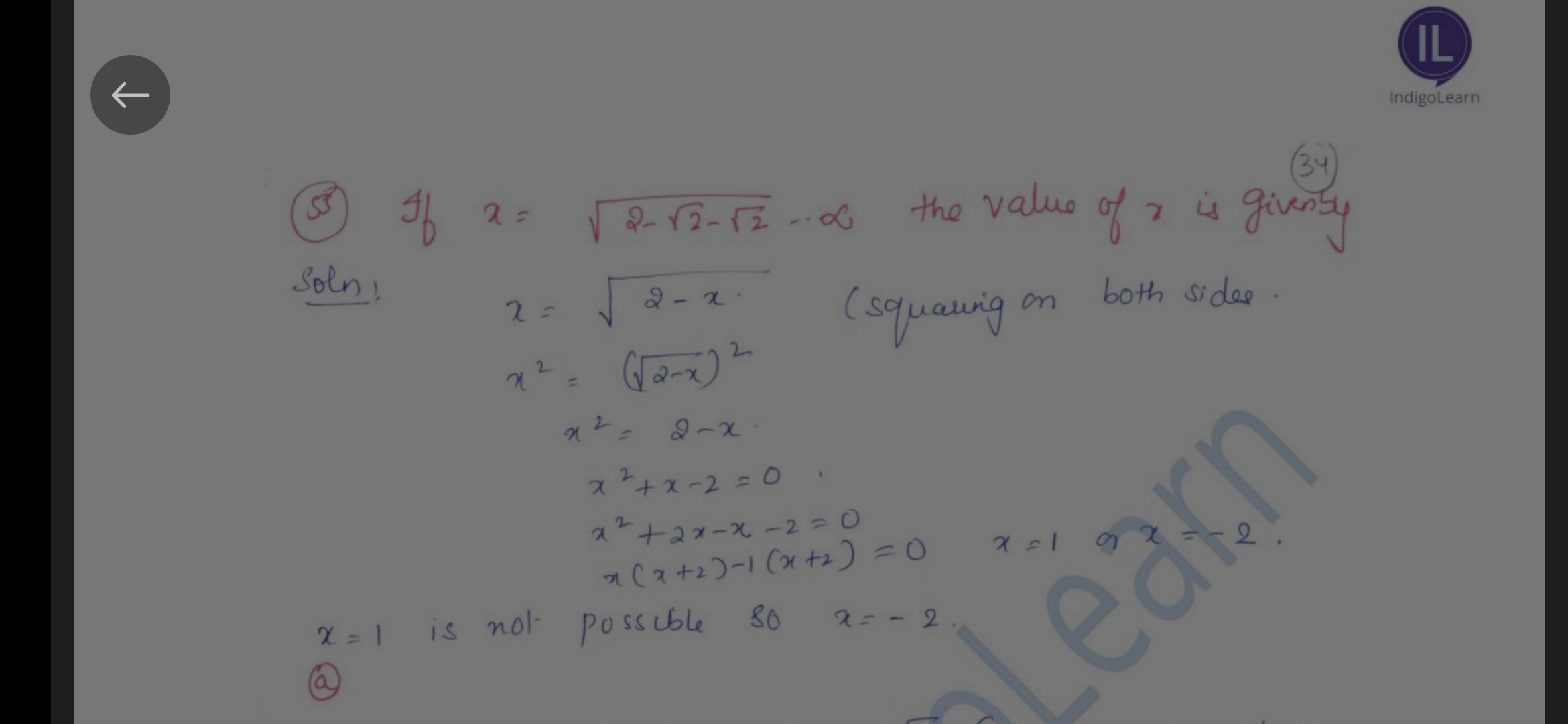
Explain why we are substituting " X " in the given equation.

Screenshot_2021-10-02-10-36-35-641_cn.wps.xiaomi.abroad.lite.jpg

Vijay K

Vijay K

CA Inter

9K+

02-Oct-21 10:39

430

Answers (1)

because teh numbers under square root are recurring and not ending and go on till infinity so you can substitute that term for x


Sriram Somayajula

Sriram Somayajula

Admin

02-Oct-21 11:24

Your Reply