Forums

Back

Binomial distribution

Maths & Stats

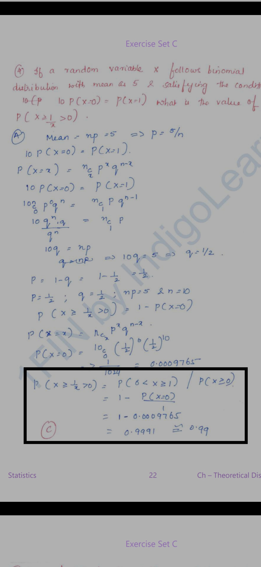
I don't know how it is changed in the marked part, explain please.

IMG_20220122_205800.jpg

Vijay K

Vijay K

CA Inter

9K+

22-Jan-22 20:59

404

Answers (6)

That number "x" should be greater than or equal to 1/x and it should be greater than zero so sum of all probability is 1 less it should be greater than zero so 1-p(x=0)


Miradevi S

Miradevi S

CA Final

16K+

22-Jan-22 23:16

OK bro is ur attempt may or Nov


Miradevi S

Miradevi S

CA Final

16K+

23-Jan-22 11:21

Miradevi S

OK bro is ur attempt may or Nov

May sis.


Thread Starter

Vijay K

Vijay K

CA Inter

9K+

23-Jan-22 11:27

Thread Starter

Vijay K

May sis.

All the best for your exams


Miradevi S

Miradevi S

CA Final

16K+

23-Jan-22 12:00

Miradevi S

All the best for your exams

Thank you sis.


Thread Starter

Vijay K

Vijay K

CA Inter

9K+

23-Jan-22 12:34

Your Reply