Forums

Back

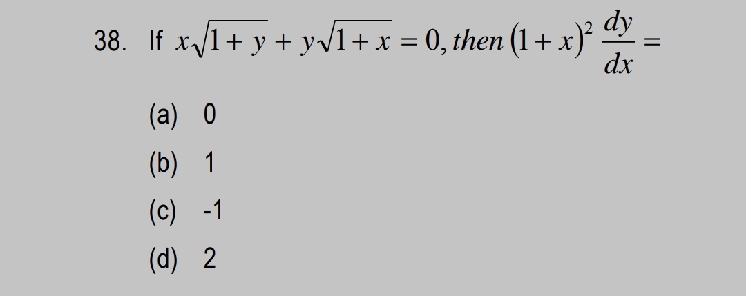
Differentiation

Maths & Stats

How to solve this sir?

IMG_20201130_093358.jpg

Veeresh Kumar Poliki

Veeresh Kumar Poliki

CA Inter

8K+

30-Nov-20 09:34

502

Answers (3)

Take one item from the equation towards the right and square on both sides. Keep x^2 and Y^2 on one side and simplify. You will be able to get value of X. Then differentiate w.r.t. y


CA Suraj Lakhotia

CA Suraj Lakhotia

Admin

02-Dec-20 08:13

Thread Starter

Veeresh Kumar Poliki

Thank you sir! I got it.

Great!


CA Suraj Lakhotia

CA Suraj Lakhotia

Admin

02-Dec-20 15:35

Your Reply