Forums

Back

Equations

Maths & Stats

I am not able to solve this question

IMG_20200801_012528.jpg

Soumya A

Soumya A

CA Inter

20K+

01-Aug-20 01:26

576

Answers (3)

I need solution to this question


Thread Starter

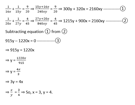
The solution is 3,4

Attachments

Solution.PNG

Madhuri Veluri

Madhuri Veluri

CA Inter

2K+

02-Aug-20 00:48

Thank you ma'am


Thread Starter

Soumya A

Soumya A

CA Inter

20K+

02-Aug-20 17:00

Your Reply