Forums

Back

Equations

Maths & Stats

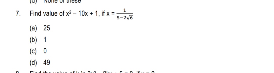
What's the answer of this question help me solve this!!

IMG_20230829_105859.jpg

Taniya Thakur

Taniya Thakur

CA Foundation

1K+

29-Aug-23 11:04

350

Answers (7)

Please solve and post your solution.


I don't know how to solve this

Attachments

IMG_20230829_121730.jpg

Thread Starter

Taniya Thakur

Taniya Thakur

CA Foundation

1K+

29-Aug-23 12:19

Pfa answer. Once you add all terms , you get 0

Attachments

635860a9-bad8-49e8-9422-bda66046c0ce.jpg

Pavan Kumar

Pavan Kumar

Faculty

29-Aug-23 12:24

I don't get the answer!


Thread Starter

Taniya Thakur

Taniya Thakur

CA Foundation

1K+

29-Aug-23 12:28

I solved only x^2-10x. You add 1 to it get final answer as zero (0).


Pavan Kumar

Pavan Kumar

Faculty

30-Aug-23 09:53

0 is answer


Baskar B

Baskar B

CA Foundation

2K+

14-Sep-23 20:14

Your Reply