Forums

Back

Geometric mean

Maths & Stats

Please solve this question

IMG-20200602-WA0003.jpg

Priyanka Saini

Priyanka Saini

CA Foundation

12K+

02-Jun-20 20:50

588

Answers (3)

Use this formula=n1log g1+n2log g2/n1+n2


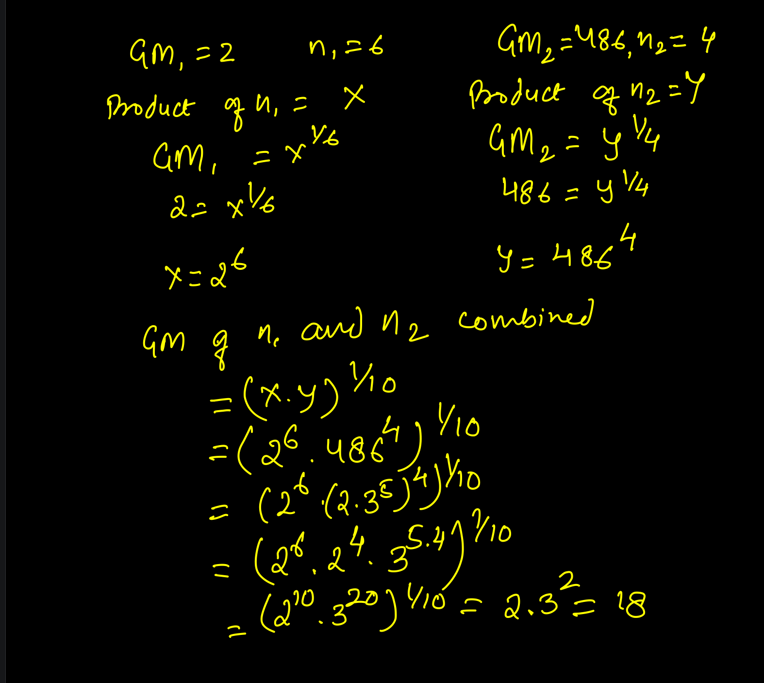
Pls find the solution attached. Assuming X as product of terms in n1 and Y as product of terms in n2.

Attachments

Maths Solution_Priyanka.jpeg

CA Suraj Lakhotia

CA Suraj Lakhotia

Admin

06-Jun-20 17:27

Ok sir


Thread Starter

Priyanka Saini

Priyanka Saini

CA Foundation

12K+

06-Jun-20 20:31

Your Reply