Forums

Back

Indices

Maths & Stats

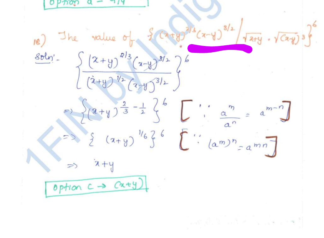
Exercise 1(C) question no. 18, in the pdf the power value is 3/2 but in the text book it is 2/3.

IMG_20240612_200501~2.jpg
Screenshot_20240612-201713~2.png

Aamina Muneera

Aamina Muneera

CA Foundation

1K+

12-Jun-24 20:19

378

Answers (3)

The solution given here is correct


Pavan Kumar

Pavan Kumar

Faculty

13-Jun-24 07:16

Here is right solution

Attachments

1EF7E0C0-F9E7-4F6C-A810-4EEBEC001D22.jpg

Sriram Somayajula

Sriram Somayajula

Admin

18-Jun-24 14:39

Your Reply