Forums

Back

Maths

Maths & Stats

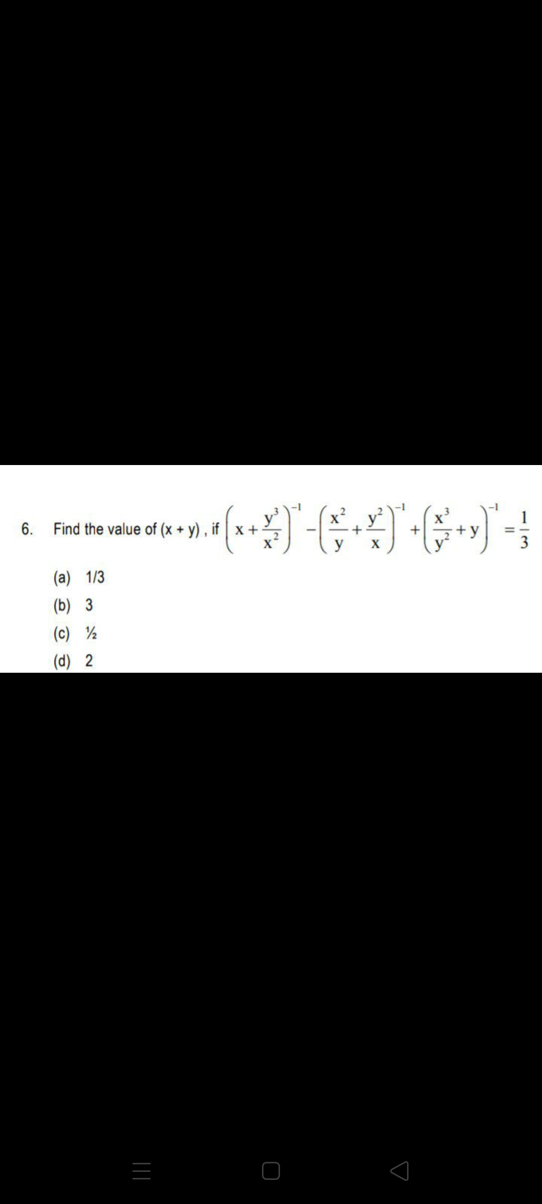
Any shortcut method

Screenshot_2020-10-17-01-49-00-25.jpg

G.c.hemalatha Reddy

G.c.hemalatha Reddy

CA Foundation

150

17-Oct-20 01:55

586

Answers (5)

Answer chepandi sir truck vadu


Thread Starter

Answer chepandi trick vadu sir


Thread Starter

G.c.hemalatha Reddy

G.c.hemalatha Reddy

CA Foundation

150

17-Oct-20 06:37

No shortcut. Simplify using law of indices.


CA Suraj Lakhotia

CA Suraj Lakhotia

Admin

17-Oct-20 08:03

Answer please sir


Thread Starter

G.c.hemalatha Reddy

G.c.hemalatha Reddy

CA Foundation

150

17-Oct-20 08:03

Please attempt once and share your working.


CA Suraj Lakhotia

CA Suraj Lakhotia

Admin

17-Oct-20 08:08

Your Reply