Forums

Back

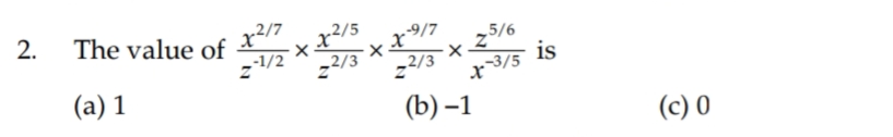
Ratio, proportion,indices and logarithm

Maths & Stats

Plzz explain this

IMG_20220109_193520.jpg

Priyadarsini Mohapatra

Priyadarsini Mohapatra

CA Foundation

1K+

09-Jan-22 19:34

447

Answers (3)

Best Answer

If ans is 1 then this is the solution

Attachments

a9c3e9d9-8f6f-49ff-b154-cb3c12e34013.jpg

Is answer 1?


Dhakshana Dhakshana

Dhakshana Dhakshana

CFA L2

18K+

09-Jan-22 19:42

Your Reply