Forums

Back

Sets function and relations

Maths & Stats

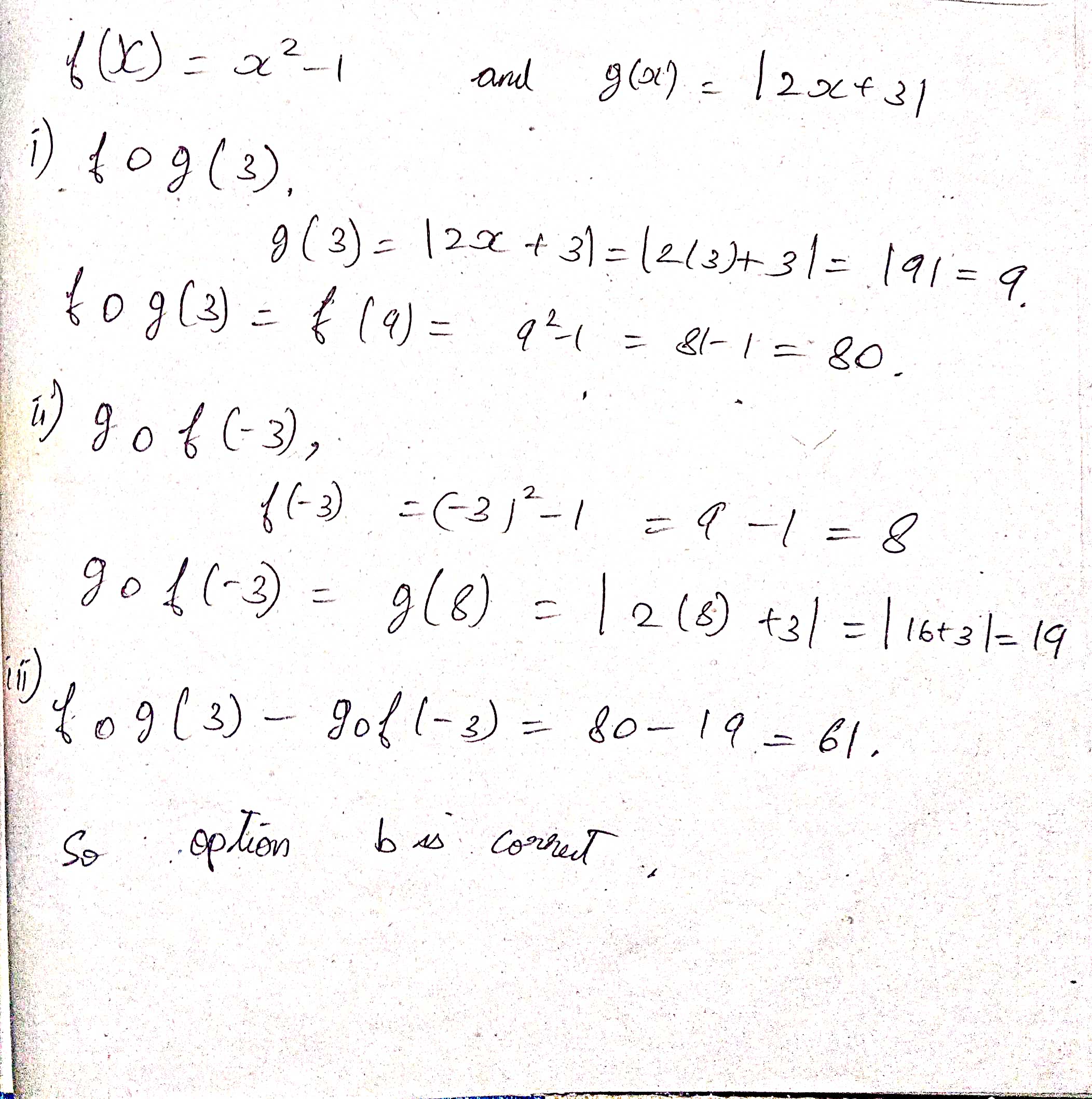
Please solve this sum by steps clearly

Screenshot_20211011-114849.jpg

Dhakshana Dhakshana

Dhakshana Dhakshana

CFA L2

18K+

11-Oct-21 11:50

451

Answers (2)

I hope you got it.

Attachments

answer.jpg

Vijay K

Vijay K

CA Inter

9K+

11-Oct-21 12:36

Your Reply