powered by logo

Forums

Back

Sum of nth term

Maths & Stats

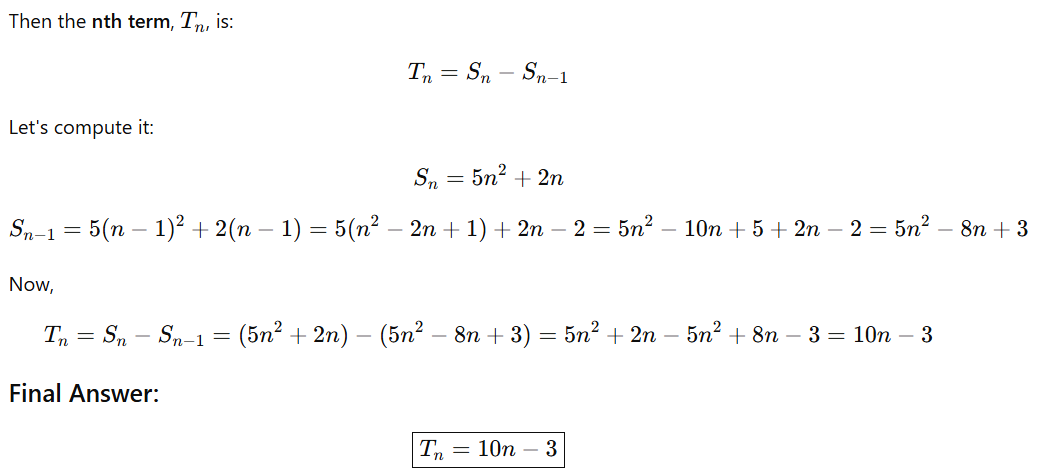
find nth term of series whose sum to nth term is 5n²+2n A 3n-10 B 10n-2 C 10n-3 D none of the above


Gurukanta Singh

Gurukanta Singh

CA Foundation

19K+

07-May-25 16:42

216

Answers (4)

Ans is C


Likith D

Likith D

Moderator

07-May-25 17:51

How to know


Thread Starter

Gurukanta Singh

Gurukanta Singh

CA Foundation

19K+

07-May-25 17:52

I attatched the image of the answer .pls check it.

Attachments

image.png

Likith D

Likith D

Moderator

07-May-25 17:59

Thanks


Thread Starter

Gurukanta Singh

Gurukanta Singh

CA Foundation

19K+

07-May-25 18:00

Your Reply