Forums

Back

Time value of money

Accountancy

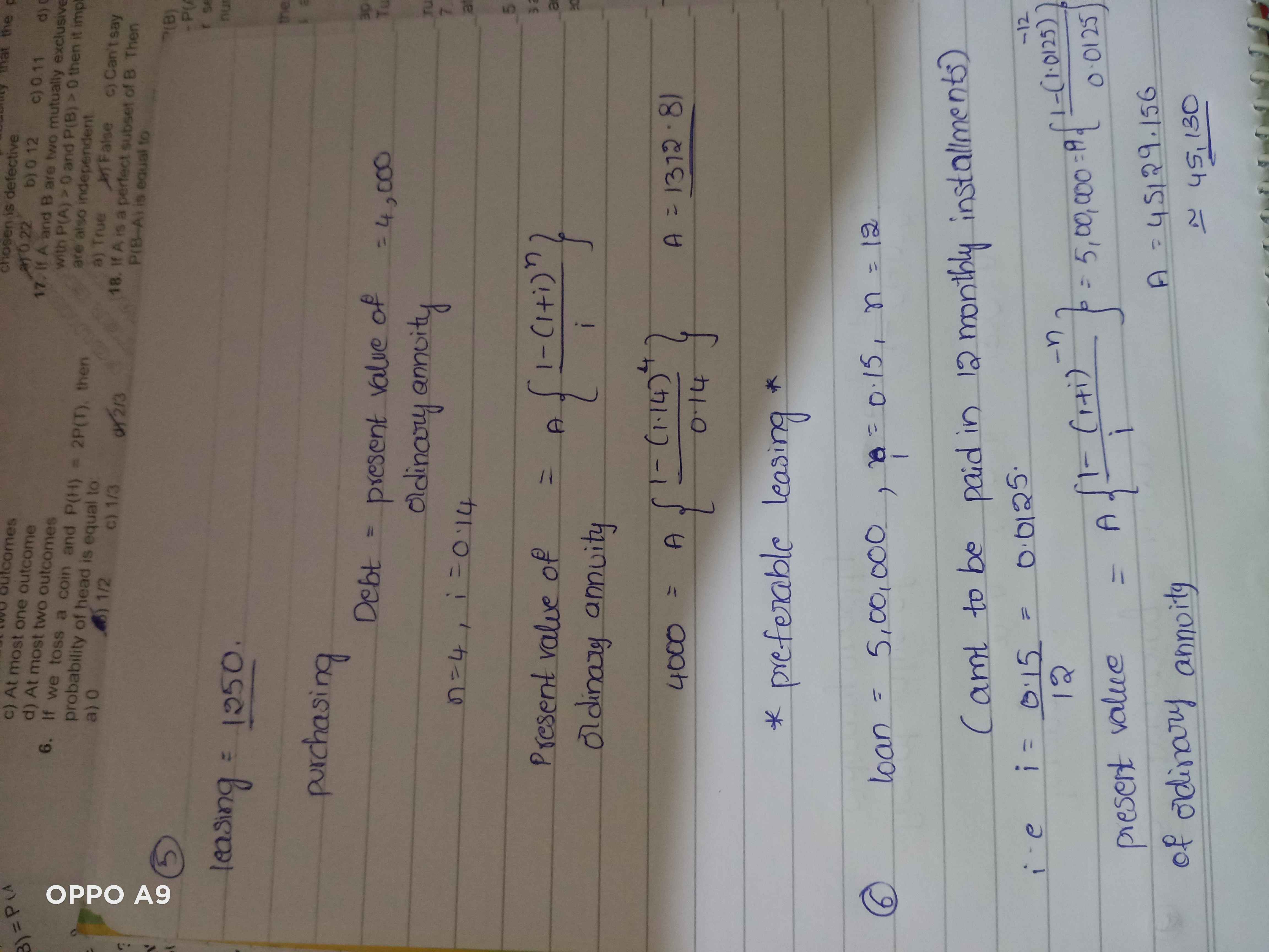
Explain the solution of 5,6,10,12

5610a8e5-7f66-49ab-ac8c-c4e6eb699b8f.jpg
ee1da487-c9b4-4342-802f-863110d31373.jpg

Sumita Shah

Sumita Shah

CA Inter

2K+

21-Oct-21 17:22

501

Answers (3)

Bro I think the material you are having is old. But I am studying with the new material. So the formula will be slightly differ but the answer is same in both way. I hope you got it.

Attachments

5.jpg

.

Attachments

92ed939b-93d0-4cc2-b1c9-57d7c31e2acc.jpg
da00be6c-6a6a-41a3-a306-fbb125ed7776.jpg

Doonika Chunduri

Doonika Chunduri

CA Inter

5K+

22-Oct-21 23:00

Your Reply