Forums

Back

What is v(x) ?

Maths & Stats

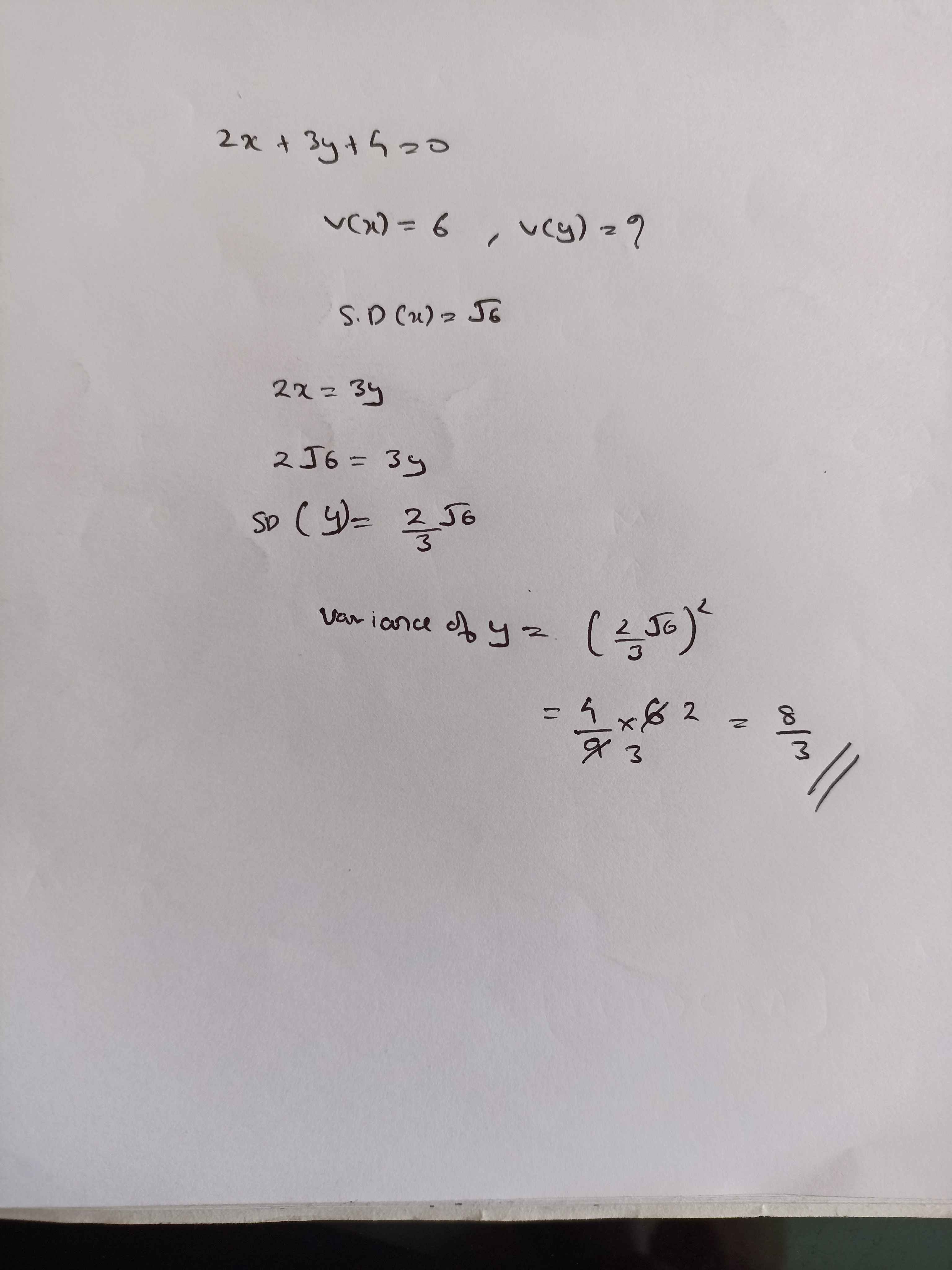
If we assume is a measure of central tendency then answer would be -16/3. If it is measure of dispersion anwer would be 4. But in solution answer is 8/3. (Question of ca foundation MTP Nov 2022-1)

60a1b9b1-aee0-46dc-9171-86d239c151c5.jpg
a8479996-90e7-4bbe-9c8a-2029e29285d6.jpg

SNEHAL KHANDELWAL

SNEHAL KHANDELWAL

CA Final

8K+

17-Nov-22 13:53

499

Answers (3)

Measures of dispersion change only with change in scale (multiplication and division) and not with change of origin(addition or subtraction). So while answering these questions avoid constants (here, 4).. Also variance is not a measure of dispersion. Variance(v) I'd the square of standard deviation(S.D)... Also is an equation, for eg, If 2x+3y+4 = 0 ; you may directly write 2x=3y..(provided it's about measure of dispersion and not mean Or median or mode)..

Attachments

c5d66dbe-4461-4977-a8f8-51ec0f7b3981.jpg

Rose

Measures of dispersion change only with change in scale (multiplication and division) and not with change of origin(addition or subtraction). So while answering these questions avoid constants (here, 4).. Also variance is not a measure of dispersion. Variance(v) I'd the square of standard deviation(S.D)... Also is an equation, for eg, If 2x+3y+4 = 0 ; you may directly write 2x=3y..(provided it's about measure of dispersion and not mean Or median or mode)..

Thanks ! I understood that only mistake i.e. I put v(x) In place of S(x) as it is instead of puting a root on it.!


Thread Starter

SNEHAL KHANDELWAL

SNEHAL KHANDELWAL

CA Final

8K+

17-Nov-22 14:22

Thread Starter

SNEHAL KHANDELWAL

Thanks ! I understood that only mistake i.e. I put v(x) In place of S(x) as it is instead of puting a root on it.!

I got confused because it was small v.


Thread Starter

SNEHAL KHANDELWAL

SNEHAL KHANDELWAL

CA Final

8K+

17-Nov-22 14:22

Your Reply